Trang chủ
Giới thiệu
Về fly to sky
Về người sáng lập Nhóm từ thiện Fly To Sky
Dự án
Tin tức
Tin tức - Sự kiện
Tin cơ sở
Tin trung ương
Kỹ năng tình nguyện
Nhà tài trợ đồng hành
Các dự án, chương trình, chiến dịch của Fly To Sky
Báo cáo
Tình nguyện
Tôn vinh
Tình nguyện viên dài hạn
Tình nguyện viên ngắn hạn
Tuyển dụng FTSC
Đăng ký thành viên chính thức
Quyên góp
Liên hệ
Quyên góp
Liên hệ
Báo cáo
Báo cáo
Thứ bảy, 09/08/2025
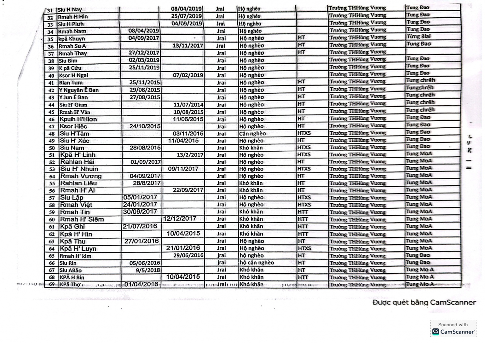
Biên bản bàn giao hàng hóa tài trợ và Báo cáo kết quả rà soát, tổng hợp danh sách Chương trình CÙNG EM TỚI TRƯỜNG lần III, năm 2025
Xem chi tiết tài liệu
Các tin khác:
Biên bản bàn giao hàng hóa tài trợ cho Trường TH & THCS Lộc Thịnh, xã Lộc Thành, tỉnh Đồng Nai
UBND XÃ LỘC THÀNH TỈNH GỬI THƯ CẢM ƠN CÔNG TY TNHH DOANH NGHIỆP XÃ HỘI TỪ THIỆN VÀ HỖ TRỢ PHÁT TRIỂN CỘNG ĐỒNG FLY TO SKY
BAN CHẤP HÀNH ĐOÀN XÃ LỘC THÀNH TỈNH ĐỒNG NAI TẶNG GIẤY KHEN CÔNG TY TNHH DOANH NGHIỆP XÃ HỘI TỪ THIỆN VÀ HỖ TRỢ PHÁT TRIỂN CỘNG ĐỒNG FLY TO SKY
Biên bản xác nhận tài trợ và Biên bản bàn giao tài trợ cho Làng Trẻ em SOS Pleiku
Biên bản xác nhận tài trợ và Biên bản bàn giao tài trợ cho Đoàn TNCS Hồ Chí Minh xã Long Phú Thuận
Biên bản xác nhận tài trợ và Biên bản bàn giao tài trợ cho Ủy ban Mặt trận Tổ Quốc Việt Nam xã Phú Túc
BAN CHẤP HÀNH ĐOÀN TNCS HỒ CHÍ MINH XÃ PHÚ TÚC TẶNG GIẤY KHEN CÔNG TY TNHH DOANH NGHIỆP XÃ HỘI TỪ THIỆN VÀ HỖ TRỢ PHÁT TRIỂN CỘNG ĐỒNG FLY TO SKY
ỦY BAN TRUNG ƯƠNG HỘI LIÊN HIỆP THANH NIÊN VIỆT NAM TẶNG BẰNG KHEN NHÓM TỪ THIỆN FLY TO SKY CHI NHÁNH THÀNH PHỐ HỒ CHÍ MINH
Đơn vị thành viên
Đơn vị đồng hành
Trang chủ
Giới thiệu
Về fly to sky
Về người sáng lập Nhóm từ thiện Fly To Sky
Dự án
Dự án đã thực hiện
Dự án sắp thực hiện
Tin tức
Tin tức - Sự kiện
Tin cơ sở
Tin trung ương
Kỹ năng tình nguyện
Nhà tài trợ đồng hành
Các dự án, chương trình, chiến dịch của Fly To Sky
Báo cáo
Tình nguyện
Tình nguyện viên dài hạn
Tình nguyện viên ngắn hạn
Tôn vinh
Tuyển dụng FTSC
Quyên góp
Liên hệ
Quyên góp
Liên hệ